三生发布9月关于网络乱价销售情况的处理通报
http://www.dsblog.net 2025-10-22 10:10:57
通报
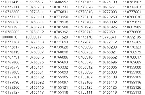
2025年9月低价链接下架106条,恢复正价159条。终止营销人员资格114人。终止的营销人员有:

<<
1
>>
来源:三生
相关报道
- 提前剧透 三生2025年度盛典亮点先睹为快
- 黄金宝:三生2025年会所有精彩 为你而来
- 三生孙鹏博:VIP细胞储存 生命筑基计划
- 正在直播|三生全新脂达人新品发布会重磅来袭
- 三生荣获2025全国“质量月”双项权威殊荣
dsblog.net推荐
- ·三生全新脂达人新品发布会10月20日直播
- ·如新发布经销商规范经营声明
- ·完美荟新固发头皮护理精华露即将上市
- ·无限极入选年度卓越级智能工厂名单
- ·炎帝生物头部康养项目战略启航
- ·天狮全球嘉年华之夜暨33周年庆启幕
- ·USANA葆婴捐超147万份营养加餐
- ·春芝堂科研解锁产业新质生产力
热门文章









